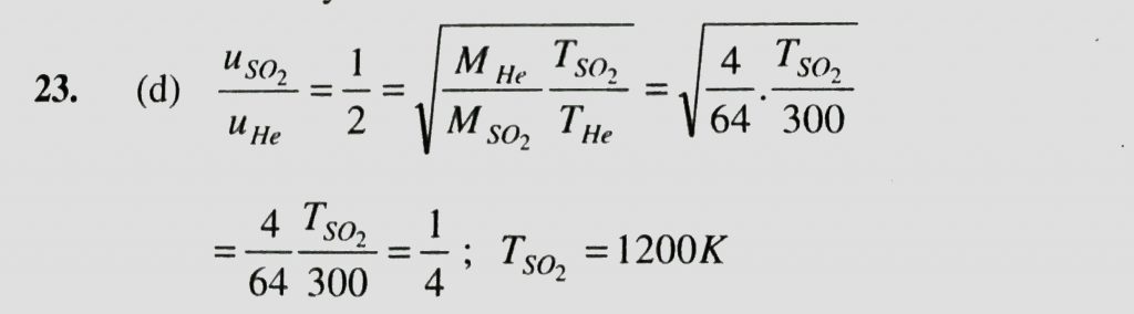
The temperature at which RMS velocity of SO2 molecules is half that of He molecules at 300 K is (a) 150 K (b) 600 K (c) 900 K (d) 1200 K The temperature at which RMS velocity of SO2 molecules is half that of He molecules at 300 K is (a) 150 K (b) 600 K (c) 900 K (d) 1200 K February 11, 2021 Category: Uncategorised (JEE Advanced Physics by BM Sharma + GMP Solutions) , Facebook Messenger WhatsApp Share this:TwitterFacebook Related