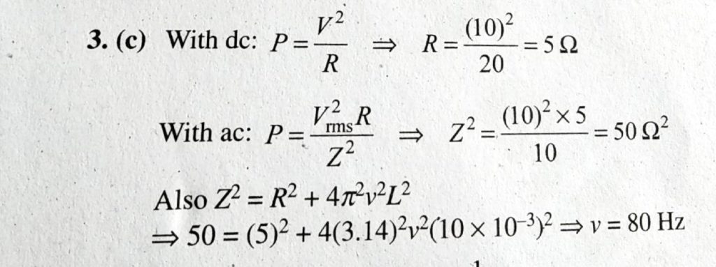
The self inductance of a choke coil is 10 mH. when it is connected with a 10 V dc source, then the loss of power is 20 W. when it is connected with 10 V ac source loss of power is 10 W. The frequency of ac source will be The self inductance of a choke coil is 10 mH. when it is connected with a 10 V dc source then the loss of power is 20 W. when it is connected with 10 V ac source loss of power is 10 W. The frequency of ac source will be September 11, 2020 Category: Uncategorised (JEE Advanced Physics by BM Sharma + GMP Solutions) , Facebook Messenger WhatsApp Share this:TwitterFacebook Related