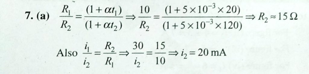
The resistance of a wire of iron is 10 ohm and temperature coefficient of resistivity is 5 × 10^−3/.∘C, At 20∘ C it carries 30 mA of current. Keeping constant potential difference between its ends. The temperature of the wire is raised to 120∘C. The current in mA that flows in the wire now is.

