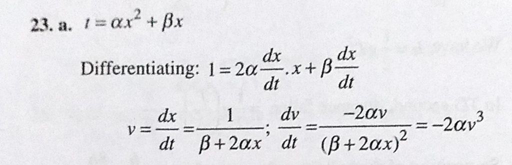
The relation between time t and distance x is t = ax^2 + beta x where alpha and beta are constants. The retardation is The relation between time t and distance x is t = ax^2 + beta x where alpha and beta are constants. The retardation is September 19, 2020 Category: Uncategorised (JEE Advanced Physics by BM Sharma + GMP Solutions) , Facebook Messenger WhatsApp Share this:TwitterFacebook Related