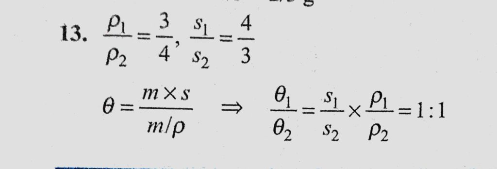
The ratio of the densities of the two bodies is 3 : 4 and the ratio of specific heats is 4 : 3. Find the ratio of their thermal capacities for unit volume ? The ratio of the densities of the two bodies is 3 : 4 and the ratio of specific heats is 4 : 3. Find the ratio of their thermal capacities for unit volume ? October 23, 2020 Category: Uncategorised (JEE Advanced Physics by BM Sharma + GMP Solutions) , Facebook Messenger WhatsApp Share this:TwitterFacebook Related