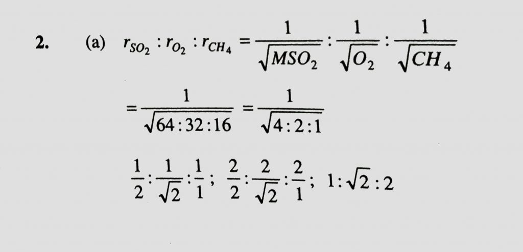
The ratio of rates of diffusion of SO2 , O2 and CH4 is (a) 1 : root 2 : 2 (b) 1: 2: 4 (c) 2 : root 2 : 1 (d) 1 :2 : root 2 O2 and CH4 is (a) 1 : root 2 : 2 (b) 1: 2: 4 (c) 2 : root 2 : 1 (d) 1 :2 : root 2 The ratio of rates of diffusion of SO2 February 12, 2021 Category: Uncategorised (JEE Advanced Physics by BM Sharma + GMP Solutions) , Facebook Messenger WhatsApp Share this:TwitterFacebook Related