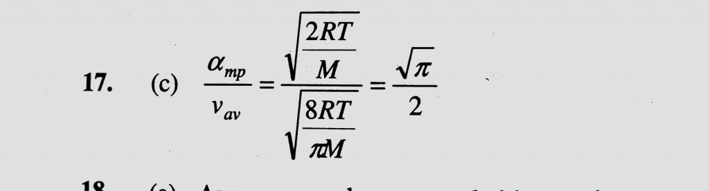
The ratio of most probable velocity to that of average velocity is (A) pie /2 (b) 2/ pie (c) root pie /2 (d) 2 / root pie The ratio of most probable velocity to that of average velocity is (A) pie /2 (b) 2/ pie (c) root pie /2 (d) 2 / root pie February 11, 2021 Category: Uncategorised (JEE Advanced Physics by BM Sharma + GMP Solutions) , Facebook Messenger WhatsApp Share this:TwitterFacebook Related