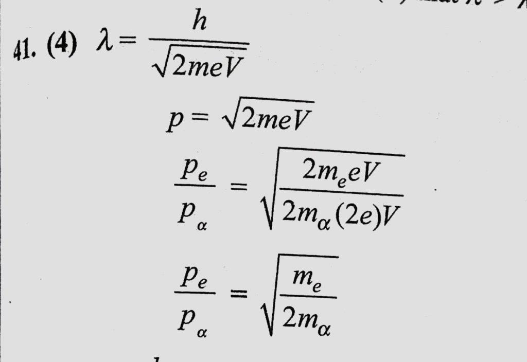
The ratio of momenta of an electron and an alpha particle which are accelerated from rest by a potential difference of 100 V is The ratio of momenta of an electron and an alpha particle which are accelerated from rest by a potential difference of 100 V is October 14, 2020 Category: Uncategorised (JEE Advanced Physics by BM Sharma + GMP Solutions) , Facebook Messenger WhatsApp Share this:TwitterFacebook Related