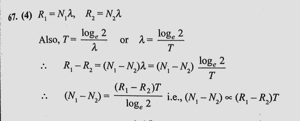
The radioactivity of a sample is R1 at a time T1 and R2 at a time T2. If the half-life of the specimen is T, the number of atoms that have disintegrated in the time (T2 – T1) is proportional to the number of atoms that have disintegrated in the time (T2 - T1) is proportional to The radioactivity of a sample is R1 at a time T1 and R2 at a time T2. If the half-life of the specimen is T October 18, 2020 Category: Uncategorised (JEE Advanced Physics by BM Sharma + GMP Solutions) , Facebook Messenger WhatsApp Share this:TwitterFacebook Related