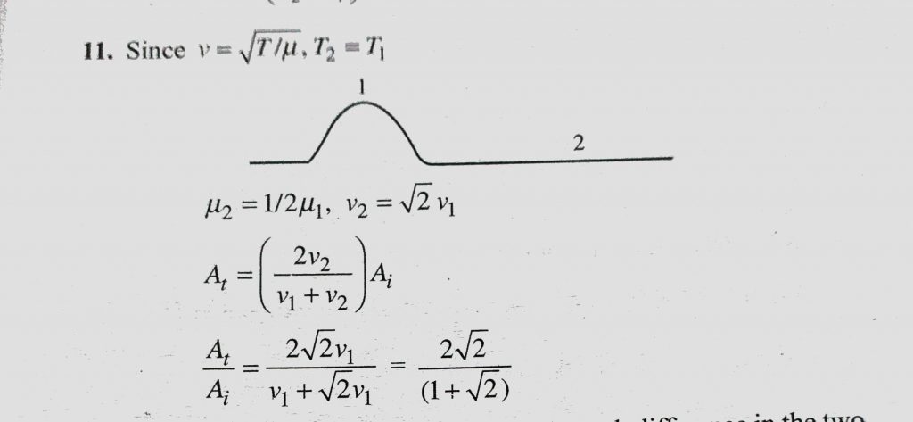
The pulse shown in figure has a speed of 5 cm/s. If the linear mass density of the right string is 0.5 that of the left string, find the ratio of height of the transmitted pulse to that find the ratio of height of the transmitted pulse to that The pulse shown in figure has a speed of 5 cm/s. If the linear mass density of the right string is 0.5 that of the left string November 5, 2020 Category: Uncategorised (JEE Advanced Physics by BM Sharma + GMP Solutions) , Facebook Messenger WhatsApp Share this:TwitterFacebook Related