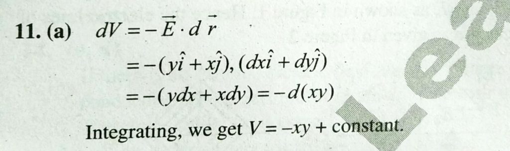
The potential field of an electric field E = ( yi + xj ) is The potential field of an electric field E = ( yi + xj ) is September 18, 2020 Category: Uncategorised (JEE Advanced Physics by BM Sharma + GMP Solutions) , Facebook Messenger WhatsApp Share this:TwitterFacebook Related