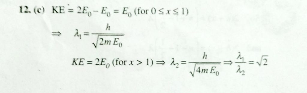
The potential energy of a particle of mass m is given by U(x) = {E000≤x1 λ1 and λ2 are the de-Broglie wavelength of the particle, when 0≤x≤1 and x>1 respectively. If the total energy of particle is 2E0 , then the ratio λ1/λ2 will be The potential energy of a particle of mass m is given by U(x) = {E000≤x1 λ1 and λ2 are the de-Broglie wavelength of the particle then the ratio λ1/λ2 will be when 0≤x≤1 and x>1 respectively. If the total energy of particle is 2E0 September 13, 2020 Category: Uncategorised (JEE Advanced Physics by BM Sharma + GMP Solutions) , Facebook Messenger WhatsApp Share this:TwitterFacebook Related