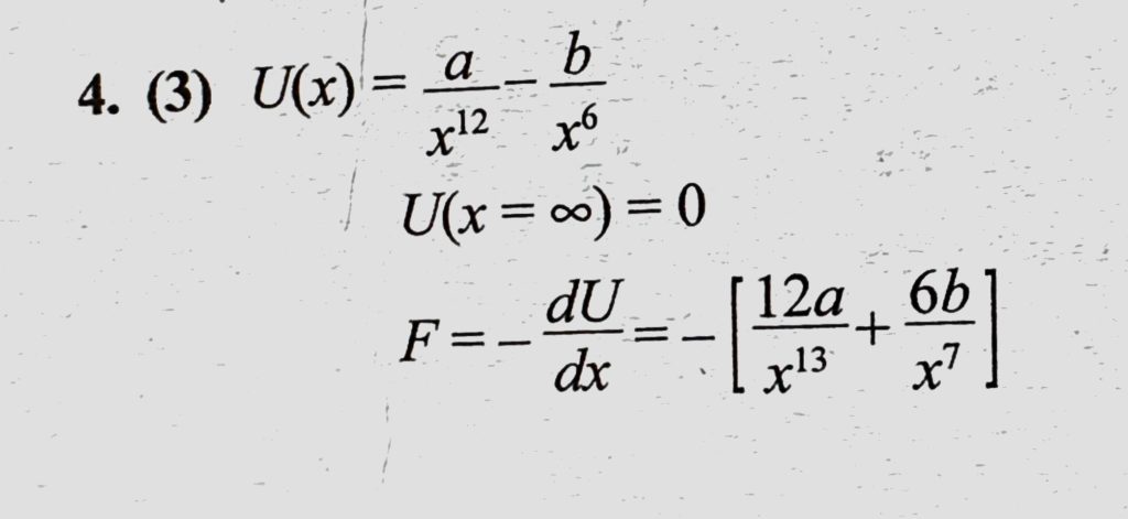
The potential energy function for the force between two atoms in a diatomic molecule is approximately given by U(x) = (a/x^12) – (b/x^6), where a and b are constants and x is the distance The potential energy function for the force between two atoms in a diatomic molecule is approximately given by U(x) = (a/x^12) - (b/x^6) where a and b are constants and x is the distance October 14, 2020 Category: Uncategorised (JEE Advanced Physics by BM Sharma + GMP Solutions) , Facebook Messenger WhatsApp Share this:TwitterFacebook Related