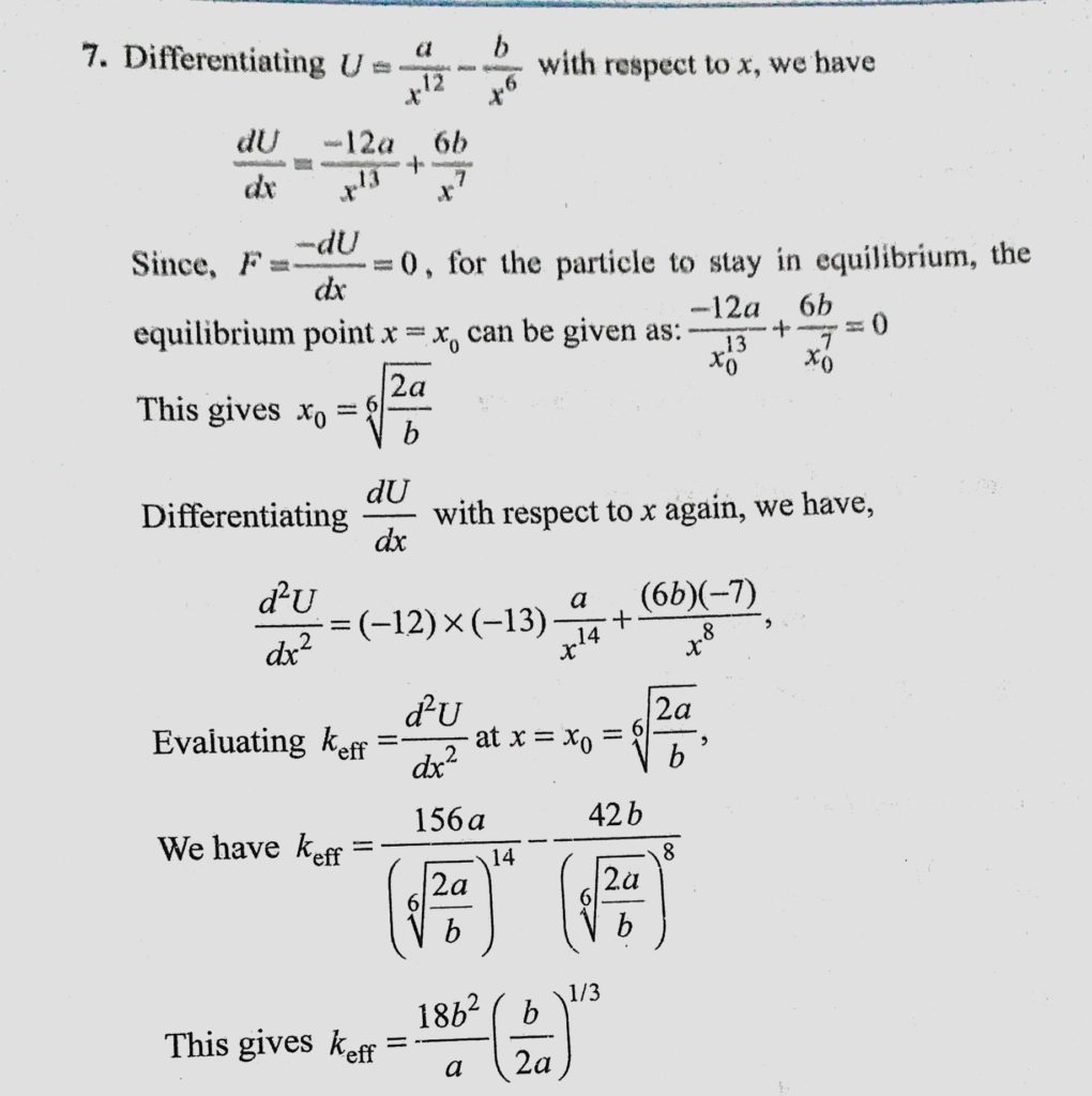
The potential energy between two atoms in a diatomic molecule varies with x as U = a / x^12 – b/x^6, where a and b are positive constants. Find the equivalent spring constant The potential energy between two atoms in a diatomic molecule varies with x as U = a / x^12 - b/x^6 where a and b are positive constants. Find the equivalent spring constant October 30, 2020 Category: Uncategorised (JEE Advanced Physics by BM Sharma + GMP Solutions) , Facebook Messenger WhatsApp Share this:TwitterFacebook Related