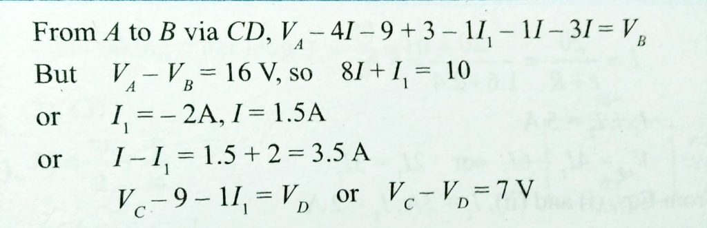
The potential difference between points A and B in the circuit shown in figure is 16 V . Then The potential difference between points A and B in the circuit shown in figure is 16 V . Then November 12, 2020 Category: Uncategorised (JEE Advanced Physics by BM Sharma + GMP Solutions) , Facebook Messenger WhatsApp Share this:TwitterFacebook Related