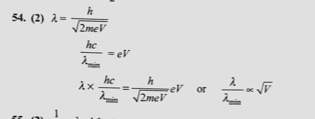
The potential difference applied to an X-ray tube is V. The ratio of the de Broglie wavelength of electrons to the minimum wavelength of X ray is directly proportional to The potential difference applied to an X-ray tube is V. The ratio of the de Broglie wavelength of electrons to the minimum wavelength of X ray is directly proportional to October 14, 2020 Category: Uncategorised (JEE Advanced Physics by BM Sharma + GMP Solutions) , Facebook Messenger WhatsApp Share this:TwitterFacebook Related