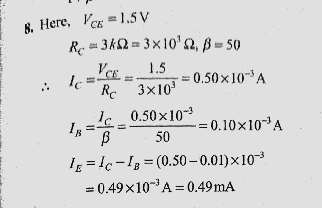
The potential difference across the collector of a transistor, used in common emitter mode is 1.5 V, with the collector resistance of 3 k ohm. Find (1) the emitter and (2) the base current, if the d.c. gain if the d.c. gain The potential difference across the collector of a transistor used in common emitter mode is 1.5 V with the collector resistance of 3 k ohm. Find (1) the emitter and (2) the base current October 21, 2020 Category: Uncategorised (JEE Advanced Physics by BM Sharma + GMP Solutions) , Facebook Messenger WhatsApp Share this:TwitterFacebook Related