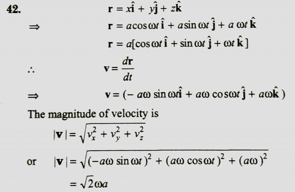
The position co-ordinates of a particle moving in a 3-D coordinate system is given by x=a cosωt y=a sinωt and z=aωt .The velocity of particle will be The position co-ordinates of a particle moving in a 3-D coordinate system is given by x=a cosωt y=a sinωt and z=aωt .The velocity of particle will be February 13, 2021 Category: Uncategorised (JEE Advanced Physics by BM Sharma + GMP Solutions) , Facebook Messenger WhatsApp Share this:TwitterFacebook Related