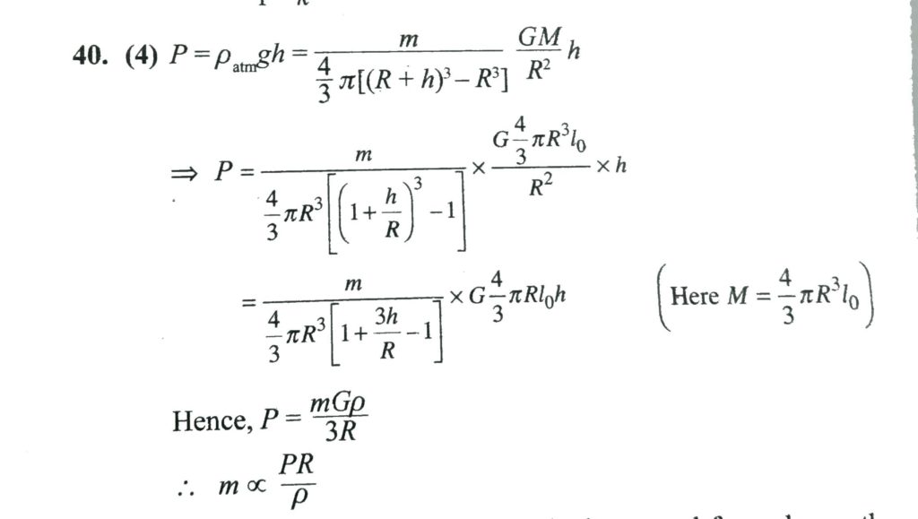
The planets with radii R 1 and R 2 have densities ρ 1 , ρ 2 respectively. Their atmospheric pressures are p 1 and p 2 respectively. Therefore, the ratio of masses of their atmospheres, neglecting variation of g within the limits of atmosphere is?

