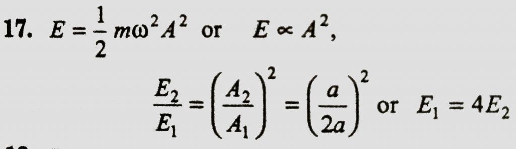
The phase space diagram for simple harmonic motion is a circle centered at the origin. In the figure, the two circles represent the same oscillator but for different initial represent the same oscillator but for different initial conditions , and E1 and E2 are the total mechanical energies respectively. Then,


