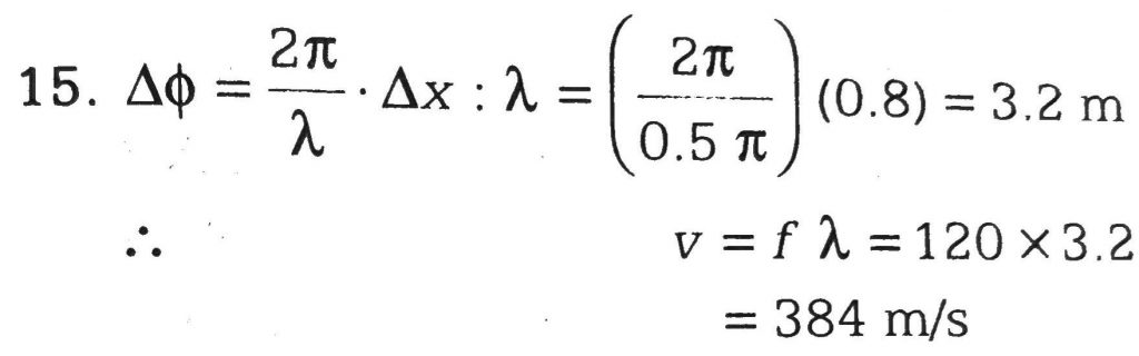
The phase difference between two points separated by 0.8m in a wave of frequency 120Hz is 0.5 pie. Then the velocity of wave will be The phase difference between two points separated by 0.8m in a wave of frequency 120Hz is 0.5 pie. Then the velocity of wave will be December 7, 2020 Category: Uncategorised (JEE Advanced Physics by BM Sharma + GMP Solutions) , Facebook Messenger WhatsApp Share this:TwitterFacebook Related