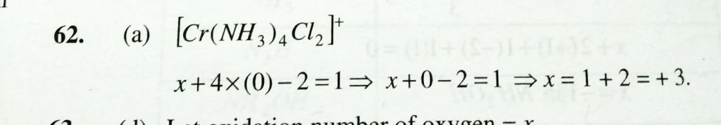
The oxidation state of Cr in [Cr (NH3 )4 CL2]^+ is (a) +3 (b) +2 (c) +1 (d) 0 The oxidation state of Cr in [Cr (NH3 )4 CL2]^+ is (a) +3 (b) +2 (c) +1 (d) 0 November 24, 2020 Category: Uncategorised (JEE Advanced Physics by BM Sharma + GMP Solutions) , Facebook Messenger WhatsApp Share this:TwitterFacebook Related