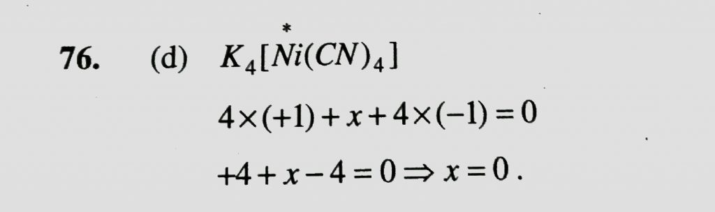
The oxidation number of nickel in K4 [Ni (CN )4] is (a) -2 (b) -1 (c) +2 (d) 0 The oxidation number of nickel in K4 [Ni (CN )4] is (a) -2 (b) -1 (c) +2 (d) 0 November 24, 2020 Category: Uncategorised (JEE Advanced Physics by BM Sharma + GMP Solutions) , Facebook Messenger WhatsApp Share this:TwitterFacebook Related