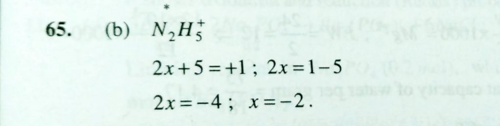
The oxidation number of N in N2H5^+ (a) -3 (b) -2 (c) -1 (d) +2 The oxidation number of N in N2H5^+ (a) -3 (b) -2 (c) -1 (d) +2 November 24, 2020 Category: Uncategorised (JEE Advanced Physics by BM Sharma + GMP Solutions) , Facebook Messenger WhatsApp Share this:TwitterFacebook Related