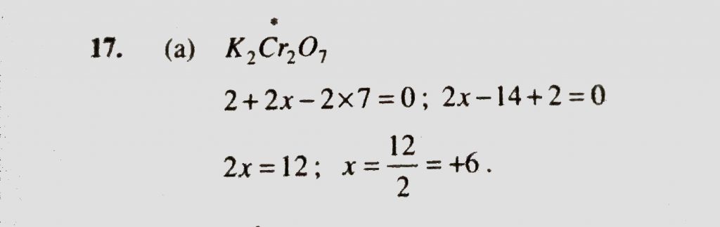
The oxidation number of Cr in K2Cr2O7 is (a) +6 (b) -7 (c) +2 (d) -2 The oxidation number of Cr in K2Cr2O7 is (a) +6 (b) -7 (c) +2 (d) -2 November 23, 2020 Category: Uncategorised (JEE Advanced Physics by BM Sharma + GMP Solutions) , Facebook Messenger WhatsApp Share this:TwitterFacebook Related