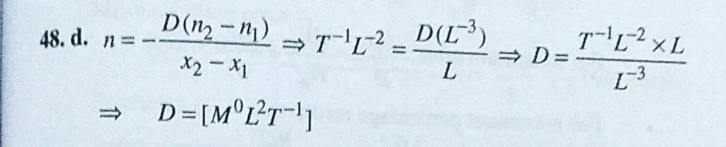
The number of particles crossing a unit area perpendicular to the x-axis in a unit time is given by n = -D (n2-n1), where n1 and n2 are the numbers of particles per unit volume The number of particles crossing a unit area perpendicular to the x-axis in a unit time is given by n = -D (n2-n1) where n1 and n2 are the numbers of particles per unit volume September 15, 2020 Category: Uncategorised (JEE Advanced Physics by BM Sharma + GMP Solutions) , Facebook Messenger WhatsApp Share this:TwitterFacebook Related