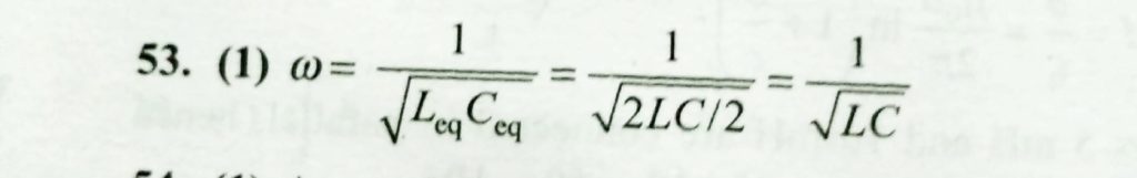
The natural frequency of the circuit shown in the figure is (1) 1 /root LC (ii ) 1 / root 2 LC (iii) 2 /root L The natural frequency of the circuit shown in the figure is (1) 1 /root LC (ii ) 1 / root 2 LC (iii) 2 /root L October 23, 2020 Category: Uncategorised (JEE Advanced Physics by BM Sharma + GMP Solutions) , Facebook Messenger WhatsApp Share this:TwitterFacebook Related