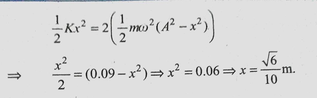
The motion of a particle is described by x = 30 sin (pie t + pie / 6) , where x is in cm and t in sec. Find the position where potential energy of the particle is twice of kinetic energy The motion of a particle is described by x = 30 sin (pie t + pie / 6) where x is in cm and t in sec. Find the position where potential energy of the particle is twice of kinetic energy October 30, 2020 Category: Uncategorised (JEE Advanced Physics by BM Sharma + GMP Solutions) , Facebook Messenger WhatsApp Share this:TwitterFacebook Related