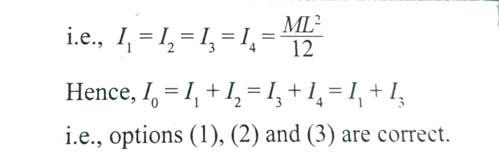
The moments of interia of a thin square plate ABCD of uniform thickness about an axis passing through the centre O and perpendicular to the plate are The moments of interia of a thin square plate ABCD of uniform thickness about an axis passing through the centre O and perpendicular to the plate are September 26, 2020 Category: Uncategorised (JEE Advanced Physics by BM Sharma + GMP Solutions) , Facebook Messenger WhatsApp Share this:TwitterFacebook Related