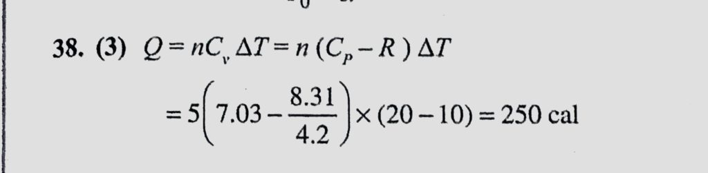
The molar specific heat of oxygen at constant pressure Cp = 7.03 cal/mol C and R = 8.31 J/mol C. The amount of heat taken by 5 mol of oxygen when heated at constant volume The molar specific heat of oxygen at constant pressure Cp = 7.03 cal/mol C and R = 8.31 J/mol C. The amount of heat taken by 5 mol of oxygen when heated at constant volume October 29, 2020 Category: Uncategorised (JEE Advanced Physics by BM Sharma + GMP Solutions) , Facebook Messenger WhatsApp Share this:TwitterFacebook Related