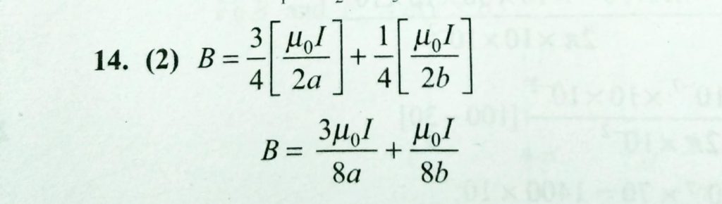
The magnetic induction at centre O( figure ) is The magnetic induction at centre O( figure ) is October 16, 2020 Category: Uncategorised (JEE Advanced Physics by BM Sharma + GMP Solutions) , Facebook Messenger WhatsApp Share this:TwitterFacebook Related