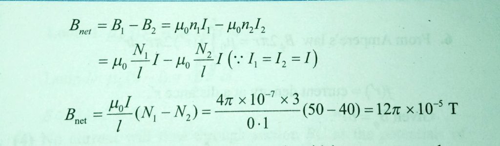
The length of a solenoid is 0.1m and its diameter is very small . A wire is wound over in two layers. The number of turns in the inner layer is 50 and that on the outer layer is 40. The strength of current flowing in two layers in the same direction is 3 ampere. The magnetic induction in the middle of the solenoid will be


