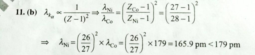
The K alpha X -ray arising from a cobalt ( z = 27 ) target have a wavelength of 179 Pm. The K alpha X -ray arising from a nickel target (z =28) is The K alpha X -ray arising from a cobalt ( z = 27 ) target have a wavelength of 179 Pm. The K alpha X -ray arising from a nickel target (z =28) is September 14, 2020 Category: Uncategorised (JEE Advanced Physics by BM Sharma + GMP Solutions) , Facebook Messenger WhatsApp Share this:TwitterFacebook Related