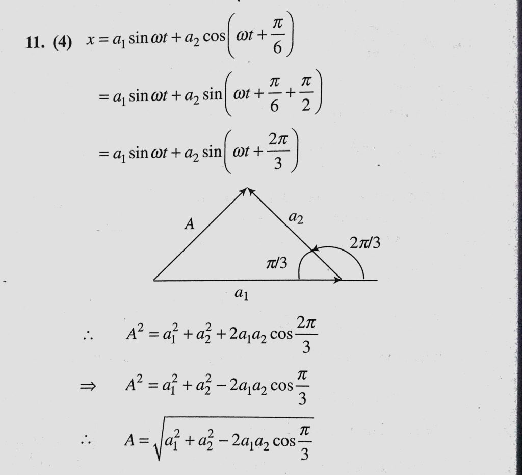
The instantaneous displacement x of a particle executing simple harmonic motion is given by x = a1 sin omega t + a2 cos (omega t + pie / 6). The amplitude A of oscillation is given by The instantaneous displacement x of a particle executing simple harmonic motion is given by x = a1 sin omega t + a2 cos (omega t + pie / 6). The amplitude A of oscillation is given by October 30, 2020 Category: Uncategorised (JEE Advanced Physics by BM Sharma + GMP Solutions) , Facebook Messenger WhatsApp Share this:TwitterFacebook Related