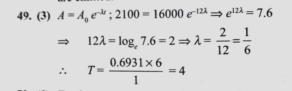
The initial activity of a certain radioactive isotope was measured as 16000 counts / min. Given that the only activity measured was due to this isotope and that its activity after 12 h was The initial activity of a certain radioactive isotope was measured as 16000 counts / min. Given that the only activity measured was due to this isotope and that its activity after 12 h was October 18, 2020 Category: Uncategorised (JEE Advanced Physics by BM Sharma + GMP Solutions) , Facebook Messenger WhatsApp Share this:TwitterFacebook Related