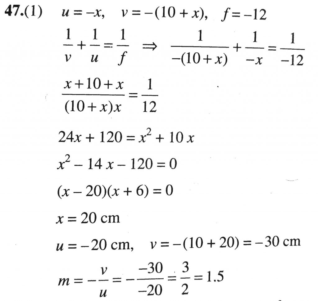
The image of an object placed in front of a concave mirror of focal length 12 cm is formed at a point which is 10 cm more distant from the mirror than the object. The magnification of the image is: The image of an object placed in front of a concave mirror of focal length 12 cm is formed at a point which is 10 cm more distant from the mirror than the object. The magnification of the image is: December 7, 2020 Category: Uncategorised (JEE Advanced Physics by BM Sharma + GMP Solutions) , Facebook Messenger WhatsApp Share this:TwitterFacebook Related