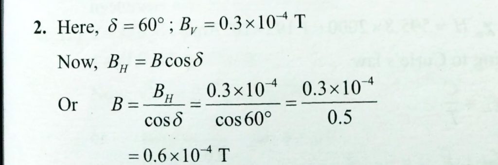
The horizontal component of earth’s magnetic field at a place is 0.3 x 10^-4 T. If the angle of dip is 60 degree , what is the total earth’s magnetic field? The horizontal component of earth's magnetic field at a place is 0.3 x 10^-4 T. If the angle of dip is 60 degree what is the total earth's magnetic field? October 18, 2020 Category: Uncategorised (JEE Advanced Physics by BM Sharma + GMP Solutions) , Facebook Messenger WhatsApp Share this:TwitterFacebook Related