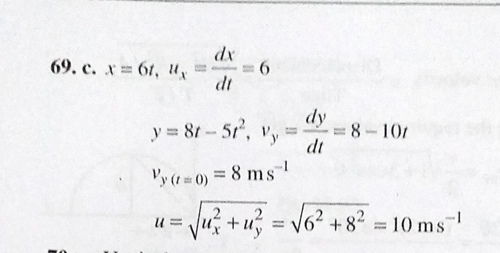
The height y and the distance x along the horizontal plane of a projectile on a certain planet (with no surrounding atmosphere) are given by y = (8t – 5t^2)m and x = 6t m, where t is in seconds. The height y and the distance x along the horizontal plane of a projectile on a certain planet (with no surrounding atmosphere) are given by y = (8t - 5t^2)m and x = 6t m where t is in seconds. September 24, 2020 Category: Uncategorised (JEE Advanced Physics by BM Sharma + GMP Solutions) , Facebook Messenger WhatsApp Share this:TwitterFacebook Related