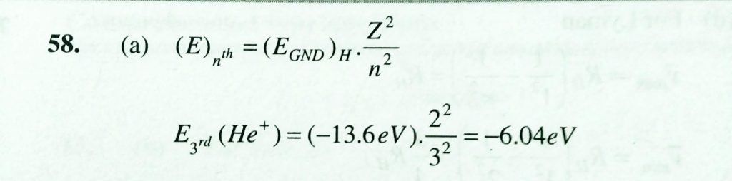
The ground state energy of hydrogen atom is – 13.6 eV . The energy of second excited state of He^+ ion in eV is The ground state energy of hydrogen atom is - 13.6 eV . The energy of second excited state of He^+ ion in eV is November 30, 2020 Category: Uncategorised (JEE Advanced Physics by BM Sharma + GMP Solutions) , Facebook Messenger WhatsApp Share this:TwitterFacebook Related