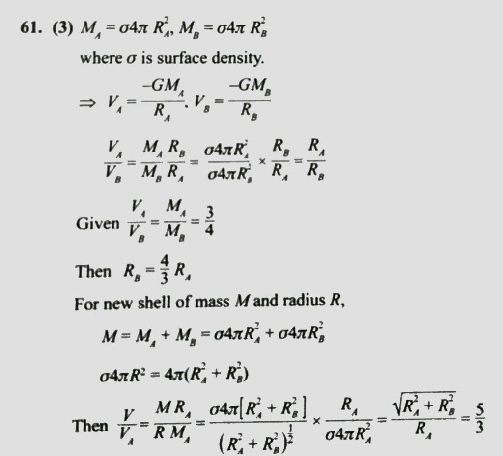
The gravitational potential of two homogenous spherical shells A and B of same surface density at their respective centres are in the ratio 3:4. If the two shells coalesce into a single one such that surface charge density remains the same, then the ratio of potential at an internal point of the new shell to shell A is equal to

