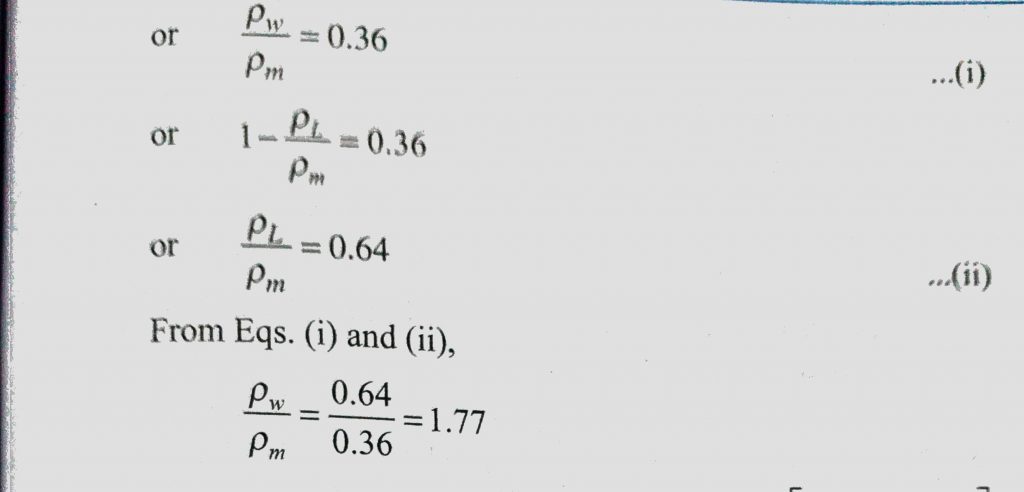
The frequency of a sonometer wire is 10 Hz. When the weights producing the tension are completely immersed in water the frequency becomes 80 Hz and on immersing the weights The frequency of a sonometer wire is 10 Hz. When the weights producing the tension are completely immersed in water the frequency becomes 80 Hz and on immersing the weights November 6, 2020 Category: Uncategorised (JEE Advanced Physics by BM Sharma + GMP Solutions) , Facebook Messenger WhatsApp Share this:TwitterFacebook Related