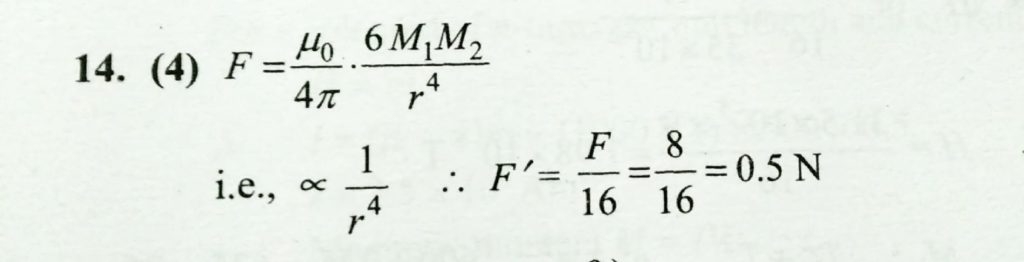
The force between two short bar magnets with magnetic moments M 1 and M 2 whose centers are r meters apart is 8N when their axes in same line. If the sepeartion is increased to 2r, the force between them in reduced to the force between them in reduced to The force between two short bar magnets with magnetic moments M 1 and M 2 whose centers are r meters apart is 8N when their axes in same line. If the sepeartion is increased to 2r October 18, 2020 Category: Uncategorised (JEE Advanced Physics by BM Sharma + GMP Solutions) , Facebook Messenger WhatsApp Share this:TwitterFacebook Related