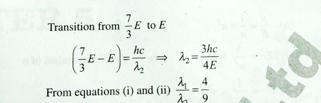
The following diagram indicates the energy levels of a certain atom when the system moves from 4E level to E. A photon of wavelength λ1 is emitted. The wavelength of photon produced during its transition from 7 / 3 E level to E is λ2. the ratio λ1 / λ2 will be


