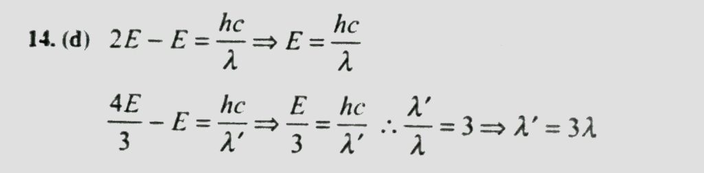
The following diagram indicates the energy levels of a certain atom when the system moves from 2E level to E, a photon of wavelength λ is emitted. The wavelength of photon produced during its transition from 4E / 3 level to E is a photon of wavelength λ is emitted. The wavelength of photon produced during its transition from 4E / 3 level to E is The following diagram indicates the energy levels of a certain atom when the system moves from 2E level to E September 14, 2020 Category: Uncategorised (JEE Advanced Physics by BM Sharma + GMP Solutions) , Facebook Messenger WhatsApp Share this:TwitterFacebook Related