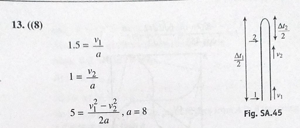
The figure shows a method for measuring the acceleration due to gravity. The ball is projected upward by a “gun.” The ball passes electronic “gates” 1 and 2 as it rises and again as it falls. Each gate is connected to a separate A particle is moving in a circular path of radius 1 m. Under the action of a centripetal force the speed root 2 pie m/s of the particle is constant. Find the average velocity between A and B September 25, 2020 Category: Uncategorised (JEE Advanced Physics by BM Sharma + GMP Solutions) , Facebook Messenger WhatsApp Share this:TwitterFacebook Related