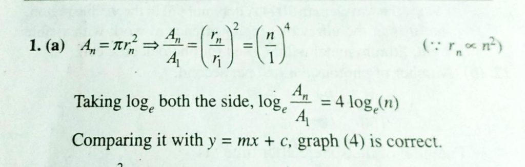
The figure shows a graph between 1n∣∣∣AnA1∣∣∣ and 1n|n|, where An is the area enclosed by the nth orbit in a hydrogen like atom. The correct curve is The figure shows a graph between 1n∣∣∣AnA1∣∣∣ and 1n|n| where An is the area enclosed by the nth orbit in a hydrogen like atom. The correct curve is September 13, 2020 Category: Uncategorised (JEE Advanced Physics by BM Sharma + GMP Solutions) , Facebook Messenger WhatsApp Share this:TwitterFacebook Related