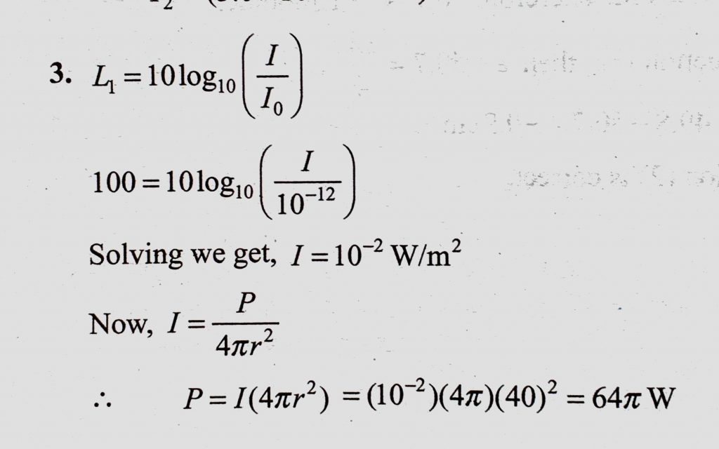
The explosion of a fire cracker in the air at a height of 40 m produces a 100 dB sound level at ground below. What is the instantaneous total radiated power ? Assuming that it The explosion of a fire cracker in the air at a height of 40 m produces a 100 dB sound level at ground below. What is the instantaneous total radiated power ? Assuming that it November 7, 2020 Category: Uncategorised (JEE Advanced Physics by BM Sharma + GMP Solutions) , Facebook Messenger WhatsApp Share this:TwitterFacebook Related