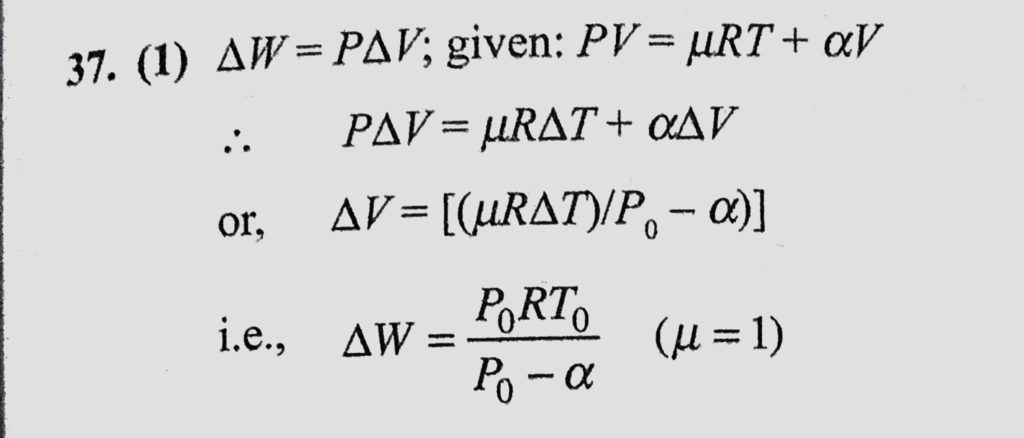
The equation of state for a gas is given by PV = nRT + alpha V, where n is the number of moles and alpha a positive constant. The initial pressure and temperature of 1 mol of the gas The equation of state for a gas is given by PV = nRT + alpha V where n is the number of moles and alpha a positive constant. The initial pressure and temperature of 1 mol of the gas October 29, 2020 Category: Uncategorised (JEE Advanced Physics by BM Sharma + GMP Solutions) , Facebook Messenger WhatsApp Share this:TwitterFacebook Related