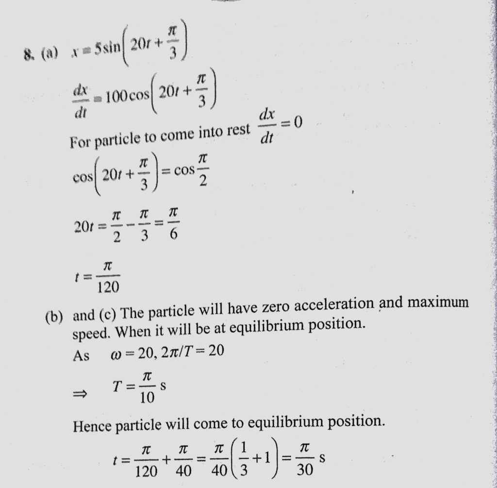
The equation of motion of a particle started at t = 0 is given by x = 5 sin (20 t + pie / 3) where x is in centimetres and t is in second. When does the particle The equation of motion of a particle started at t = 0 is given by x = 5 sin (20 t + pie / 3) where x is in centimetres and t is in second. When does the particle October 30, 2020 Category: Uncategorised (JEE Advanced Physics by BM Sharma + GMP Solutions) , Facebook Messenger WhatsApp Share this:TwitterFacebook Related