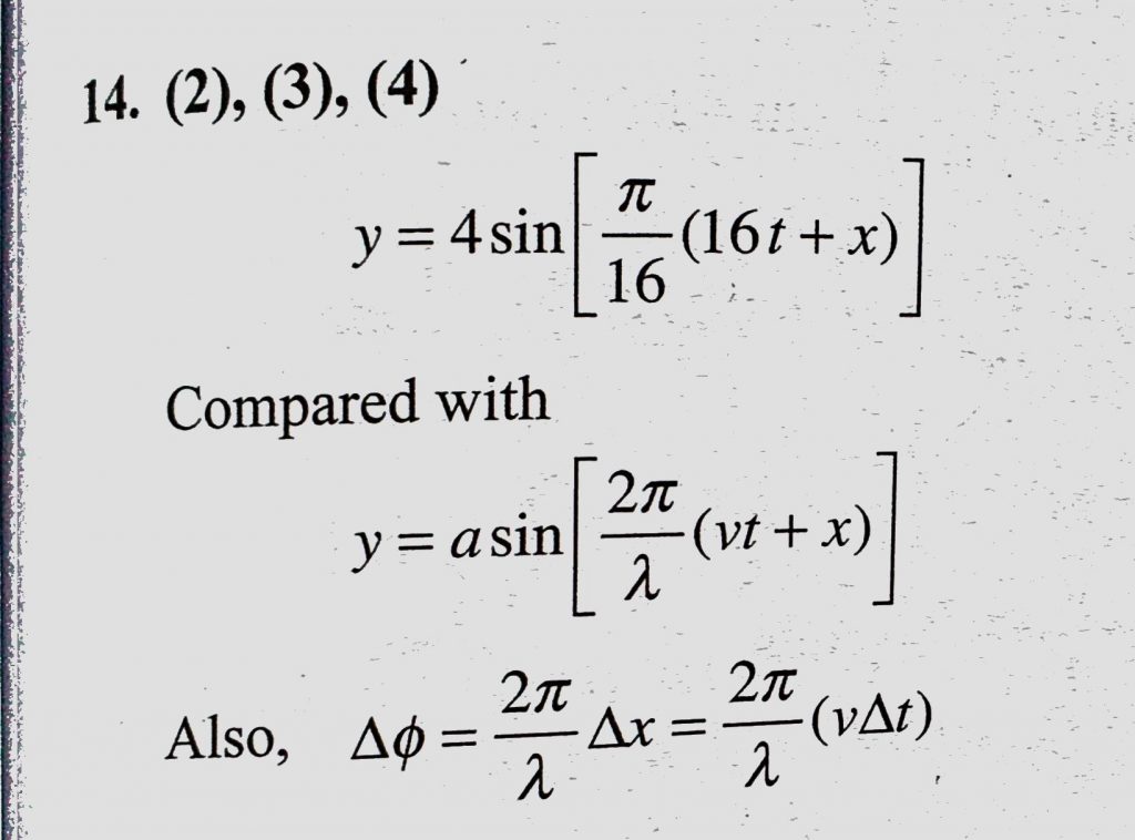
The equation of a wave is y = 4 sin (pie/2 (2t + 1/8x)) where y and x are in centimetres and t is in seconds. The equation of a wave is y = 4 sin (pie/2 (2t + 1/8x)) where y and x are in centimetres and t is in seconds. November 5, 2020 Category: Uncategorised (JEE Advanced Physics by BM Sharma + GMP Solutions) , Facebook Messenger WhatsApp Share this:TwitterFacebook Related